C’è una interessante classifica su chi cammina di più ogni giorno: un po’ a sorpresa, in Europa gli italiani sono i primi per numero di passi quotidiani. I tedeschi, considerati più salutisti e amanti dell’attività fisica, sono solo al quarto posto.
I dati arrivano da WeWard, la app per camminare guadagnando, che durante tutto il mese di giugno, ha analizzato i movimenti dei suoi utenti in diversi paesi (sono oltre 5 milioni): Italia, Francia, Belgio, Spagna e Germania. Con risultati sorprendenti e abbastanza incontrovertibili, perché derivano dal numero di passi calcolato dalla app. Ad esempio scopriamo anche che gli uomini camminano più delle donne.
Chi cammina di più ogni giorno: italiani primi in Europa per numero di passi
Bene, dai risultati sembra che gli italiani sono al primo posto in termini di passi giornalieri, con una media di circa 7213 passi al giorno. Seguono spagnoli e francesi. Fanalino di coda, un po’ inaspettatamente, sono tedeschi e belgi. Per quanto non si tratti di una ricerca scientifica, i dati dell’indagine sono interessanti, perché dovrebbero corrispondere alla reale attività fisica delle persone.
Siamo forse di fronte a un ribaltamento dei paradigmi: i paesi del nord Europa hanno uno stile di vita più sedentario rispetto ai paesi del sud Europa?
Leggi anche
- I Cammini più belli d’Europa, i migliori percorsi a piedi
- 6 Cammini di pochi giorni in Italia: itinerari brevi per iniziare
- Italia, Paese di Cammini e camminatori
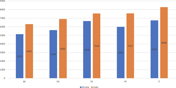
Camminano di più gli uomini o le donne?
Guardando più nel dettaglio le informazioni raccolte e cercando di capire in quali giorni della settimana gli europei camminano di più, risulta che in generale si fanno tra i 6000 e 7500 passi al giorno durante la settimana lavorativa, mentre si dedica pochissimo tempo alla camminata il sabato e ancor meno la domenica. Un altro luogo comune che viene meno: in genere si crede che nel weekend si cammini di più.
Indipendentemente dal paese di appartenenza, sembra inoltre che gli uomini camminino in media più delle donne. Le donne italiane sembrano molto meno propense a camminare rispetto agli uomini: camminano in media 1.540 passi in meno rispetto alla controparte maschile.
In Spagna, la disparità tra uomini e donne è la più sottile, circa 900 passi.
Camminare per fare 10 mila passi
L’OMS ha recentemente allertato le autorità pubbliche sull’aumento dell’obesità e della sedentarietà in Europa in tutte le fasce della popolazione. Forse non tutti centrano l’obiettivo (molto discusso) dei 10 mila passi quotidiani per stare bene dal punto di vista cardiovascolare. Gli europei camminano poco, e si vede.
In ogni caso, è evidente che nessun paese soddisfa la raccomandazione dell’OMS dei 10.000 passi giornalieri.
Ragazzi, dobbiamo camminare di più, fare le scale a piedi, scendere una fermata prima, fare due passi in pausa pranzo…
Foto di Andrea Piacquadio, Pexels
©RIPRODUZIONE RISERVATA




